Plots for White Dwarf Star evolved on a grid with 34 x 66 x 16 on BigRed III with 4 x 8 cores


Maximum Density

Radius where density equals 103

Mass on Grid

Mass in Boundary

Total Mass

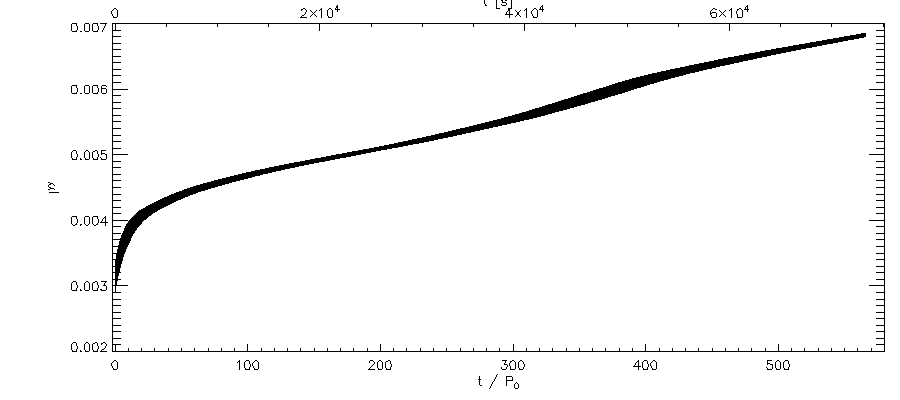
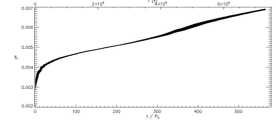
Angular Momentum

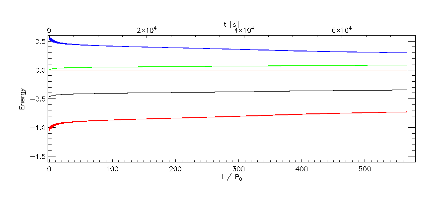
Energy Components

Gravitational Energy

Energy of Degeneracy

Kinetic Energy

Thermal Energy

Total Energy

Timestep

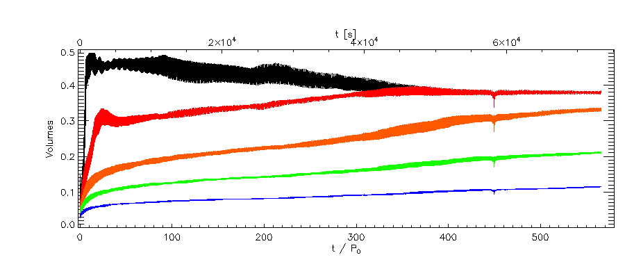
Volume

Virial from Runtime Diagnostics

Energy Components

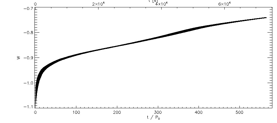
Gravitational Energy, W

Kinetic Energy of Rotaion, Trot

Radial and Vertical Kinetic Energy, TRz

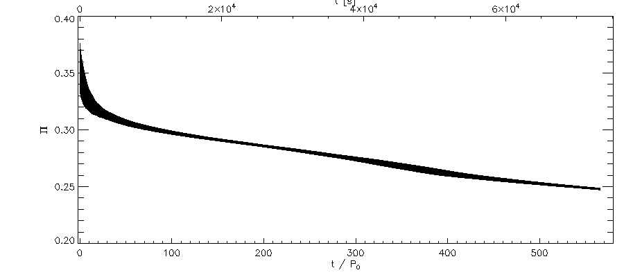
Pressure Integral, Π

Moment of Inertia

Ixx

Iyy

Izz

Time Derivatives of Moment of Inertia

d2 Ixx / dt2

d2 Iyy / dt2

d2 Izz / dt2

d2 Ixy / dt2

d2 Ixz / dt2

d2 Iyz / dt2

Center of Mass

Center of Mass Correction

Center of Mass Position

Center of Mass Velocity

Center of Mass Acceleration